• Предмет: Математика
  • Автор: Fgdvbb
  • Вопрос задан 1 год назад

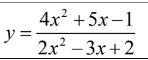
Допоможіть будь ласка. Треба знайти похідну

Приложения:

Ответы

Ответ дал: reygen
1

Ответ:

\dfrac{-22x^2 + 20 x + 7}{(2x^2 - 3x + 2)^2}

Пошаговое объяснение:

\displaystyle y' = \bigg (  \frac{4x^2 + 5x - 1}{2x^2 - 3x + 2}  \bigg ) ' = \bigg (  2+ \frac{11x - 5}{2x^2 - 3x + 2}  \bigg ) ' = 2' +  \bigg ( \frac{11x - 5}{2x^2 - 3x + 2}\bigg ) ' =\\\\\ \\ =  \bigg ( \frac{11x - 5}{2x^2 - 3x + 2}\bigg ) '


Производная частного

\bigg ( \dfrac{u}{v} \bigg ) ' = \dfrac{u'v - uv'}{v^2} \Rightarrow

\displaystyle \bigg ( \frac{11x - 5}{2x^2 - 3x + 2}\bigg ) ' = \frac{(11x - 5)' (2x^2 - 3x + 2) - (11x - 5)(2x^2 - 3x+2 )'}{(2x ^2  -3x + 2)^2} = \\\\\\\ =\frac{11(2x^ 2  - 3x + 2 ) - (11x - 5)(4x - 3) }{(2x^2 - 3x + 2)^2} = \frac{22x^2 -33x + 22 - (44x^2 -53x + 15)}{(2x^2 - 3x + 2)^2}   = \\\\\ =\frac{-22x^2 + 20 x + 7}{(2x^2 - 3x + 2)^2}


Fgdvbb: Спасибо большое. Если не сложно помоги еще с вопросами
Вас заинтересует