Ответы
Ответ дал:
0
Ответ:
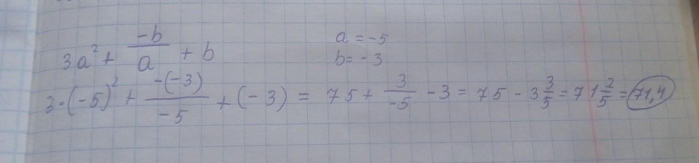
71.4
Если не трудно можешь поставить лучший ответ пожалуйста, спасибл
Приложения:

Ответ дал:
0
Ответ:
3×(-5)²-(-3) 3×25+3 78 39
-------------- = ------------- = -------- = — --------- = -9,75
-5+(-3) -5-3 -8 4
Вас заинтересует
1 год назад
1 год назад
2 года назад
8 лет назад