• Предмет: Алгебра
  • Автор: Kirilllust
  • Вопрос задан 1 год назад

Решите систему уравнений:
Даю 50 баллов​

Приложения:

Ответы

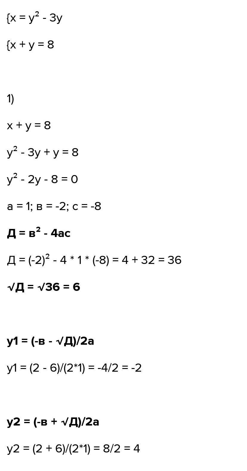
Ответ дал: iramazurk
0

Объяснение:

Смотри в прикреплённом файле

Приложения:
Вас заинтересует