• Предмет: Алгебра
  • Автор: TENSEI38
  • Вопрос задан 1 год назад

Помогите срочно надо даю 50 баллов

Приложения:

Ответы

Ответ дал: bazarbajkorkem5
1

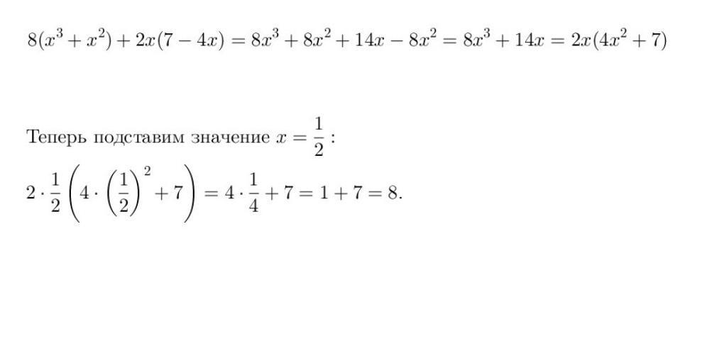
Ответ:

все это вроде должно быть правильно

Приложения:
Вас заинтересует