• Предмет: Алгебра
  • Автор: Аноним
  • Вопрос задан 10 лет назад

Помогите с примером.Желательно за 20 минут надо решить.Спасибо

Приложения:

Ответы

Ответ дал: volkodav575
0
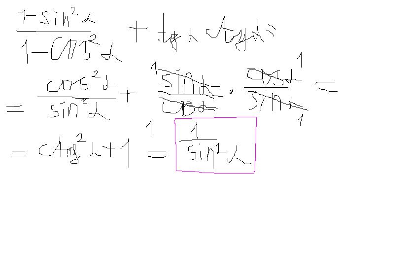
Решение на рисунке, надеюсь разборчиво.
Приложения:
Вас заинтересует