• Предмет: Алгебра
  • Автор: mmurcha228
  • Вопрос задан 1 год назад

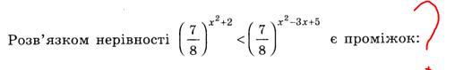
Знайти проміжок нерівності

Приложения:

Ответы

Ответ дал: 7x8
1

Ответ:

\displaystyle (1;+\infty)

Объяснение:

\displaystyle \left(\frac{7}{8}\right)^{x^2+2} < \left(\frac{7}{8}\right)^{x^2-3x+5}\\\\x^2+2 > x^2-3x+5\\\\x^2-x^2+3x > 5-2\\\\3x > 3\ \ \ |:3\\\\x > 1\\\\x\in(1;+\infty)

Вас заинтересует