• Предмет: Алгебра
  • Автор: mmurcha228
  • Вопрос задан 2 года назад

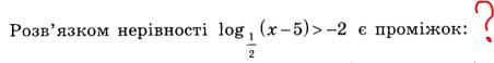
Розв язати нерівність

Приложения:

Аноним: скину розв‘язок в інст @mathematic_89

Ответы

Ответ дал: 7x8
1

Ответ:

\displaystyle (5;9)

Объяснение:

ОДЗ:

\displaystyle x > 5

\displaystyle log_{\frac{1}{2}}(x-5) > -2\\\\log_{\frac{1}{2}}(x-5) > -2log_{\frac{1}{2}}\frac{1}{2}\\\\log_{\frac{1}{2}}(x-5) > log_{\frac{1}{2}}\left(\frac{1}{2}\right)^{-2}\\\\log_{\frac{1}{2}}(x-5) > log_{\frac{1}{2}}2^2\\\\log_{\frac{1}{2}}(x-5) > log_{\frac{1}{2}}4\\\\x-5 < 4\\\\x < 4+5\\\\x < 9

\displaystyle x\in(5;9)


mmurcha228: Дякую, усі відповіді вірні
7x8: :)
Вас заинтересует