• Предмет: Алгебра
  • Автор: kairatdinmukhammed
  • Вопрос задан 2 года назад

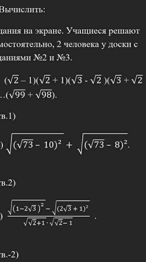
Срочно пожалуйста дам 20 баллов​

Приложения:

Ответы

Ответ дал: stephanik21443
1
дай пожалуйста лучший ответ
Приложения:

kairatdinmukhammed: как его дать?
stephanik21443: поставить пять звёзд за мой ответ
Вас заинтересует