• Предмет: Алгебра
  • Автор: ilasnitko64
  • Вопрос задан 1 год назад

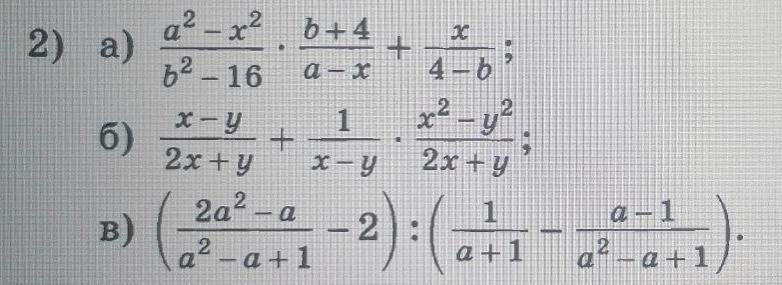
Решите примеры по алгебре 8 класс!!
Даю 35 баллов срочно

Приложения:

Hddudb: Ты не даешь 35 баллов

Ответы

Ответ дал: munavvarraufova89
0

Ответ:

a) \frac{a}{b - 4}  \\ b) \frac{ 2x}{2x + y}  \\ c) - a - 1


ilasnitko64: Надо с решением
Вас заинтересует