• Предмет: Математика
  • Автор: aroslavbikov790
  • Вопрос задан 1 год назад

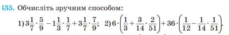
Решите пжпжпжпж 2 пример

Приложения:

Ответы

Ответ дал: barnowabarnowa
1

Ответ: дан

Пошаговое объяснение:

Приложения:
Ответ дал: cmoholhohol
1

Все обчислення зображено на фото.

Поставте, будь ласка, як «найкраща відповідь». Буду дуже Вам вдячна.

Приложения:
Вас заинтересует