• Предмет: Алгебра
  • Автор: Max19072009
  • Вопрос задан 1 год назад

Даю 80 балів!!! Відповідь має бути розписаною!!!
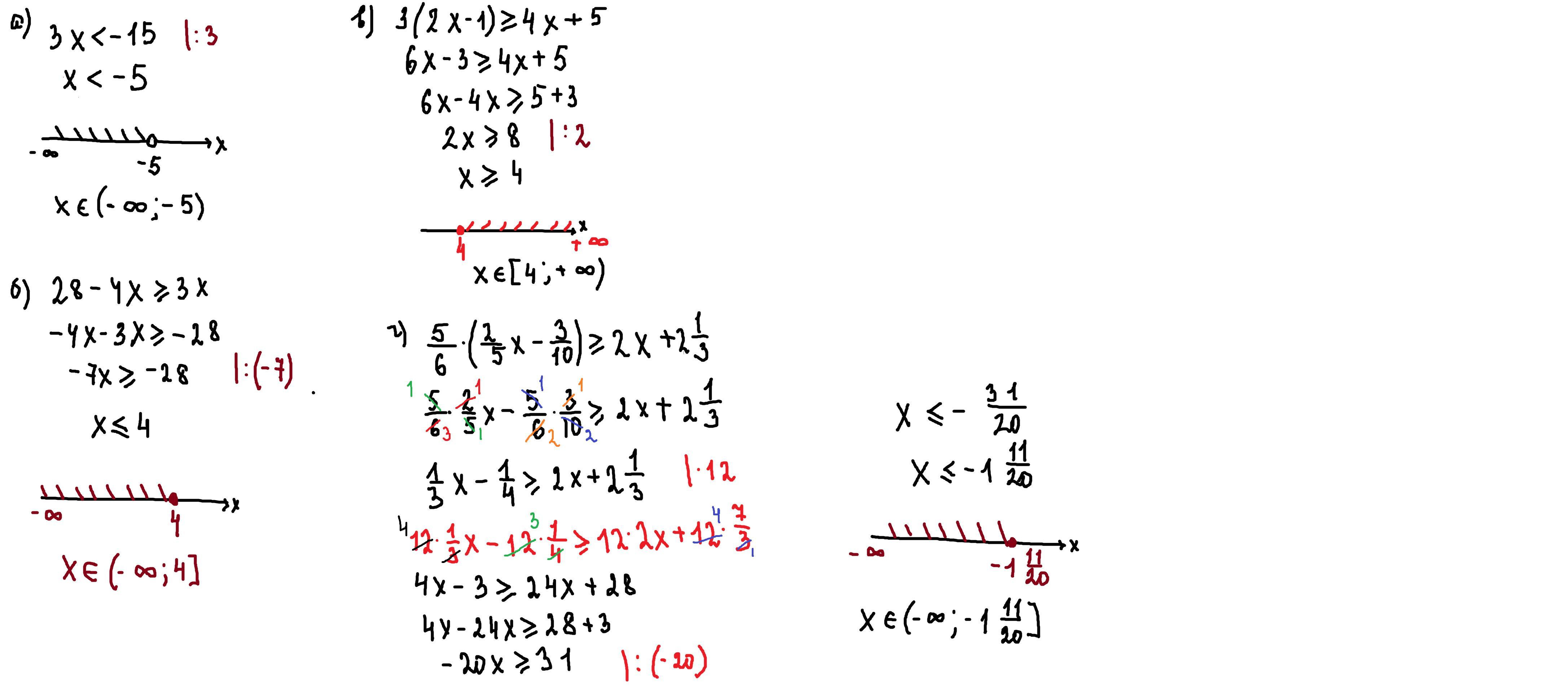
4. Розв'яжіть нерівність:

a) 3x < - 15 ;

6) 28 - 4x ≥ 3x ;

B) 3(2x - 1) ≥ 4x + 5 ; r)

Г)5/6 * (2/5 * x - 3/10) ≥ 2x + 2 1/3

Ответы

Ответ дал: parus77
0

Ответ:

Объяснение:

решение внизу

Приложения:
Вас заинтересует