• Предмет: Алгебра
  • Автор: islamsejtmuratov75
  • Вопрос задан 1 год назад

ПОЖАЛУЙСТА ПОМОГИТЕ!!!!! ДАЮ 10 БАЛЛОВ!!!!!​

Приложения:

Ответы

Ответ дал: abdullaevaamina57
1

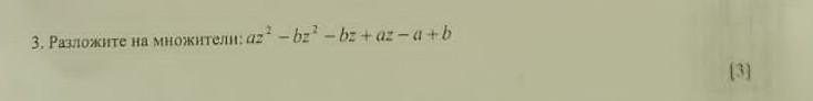
Ответ:

az²-bz²-bz+az-a+b=az-bz+az-ab=bz-ab

Объяснение:

надеюсь помог

Вас заинтересует