• Предмет: Алгебра
  • Автор: bilashovadarina
  • Вопрос задан 2 года назад

Решите пример по алгебре ппжжжпжжпжпж
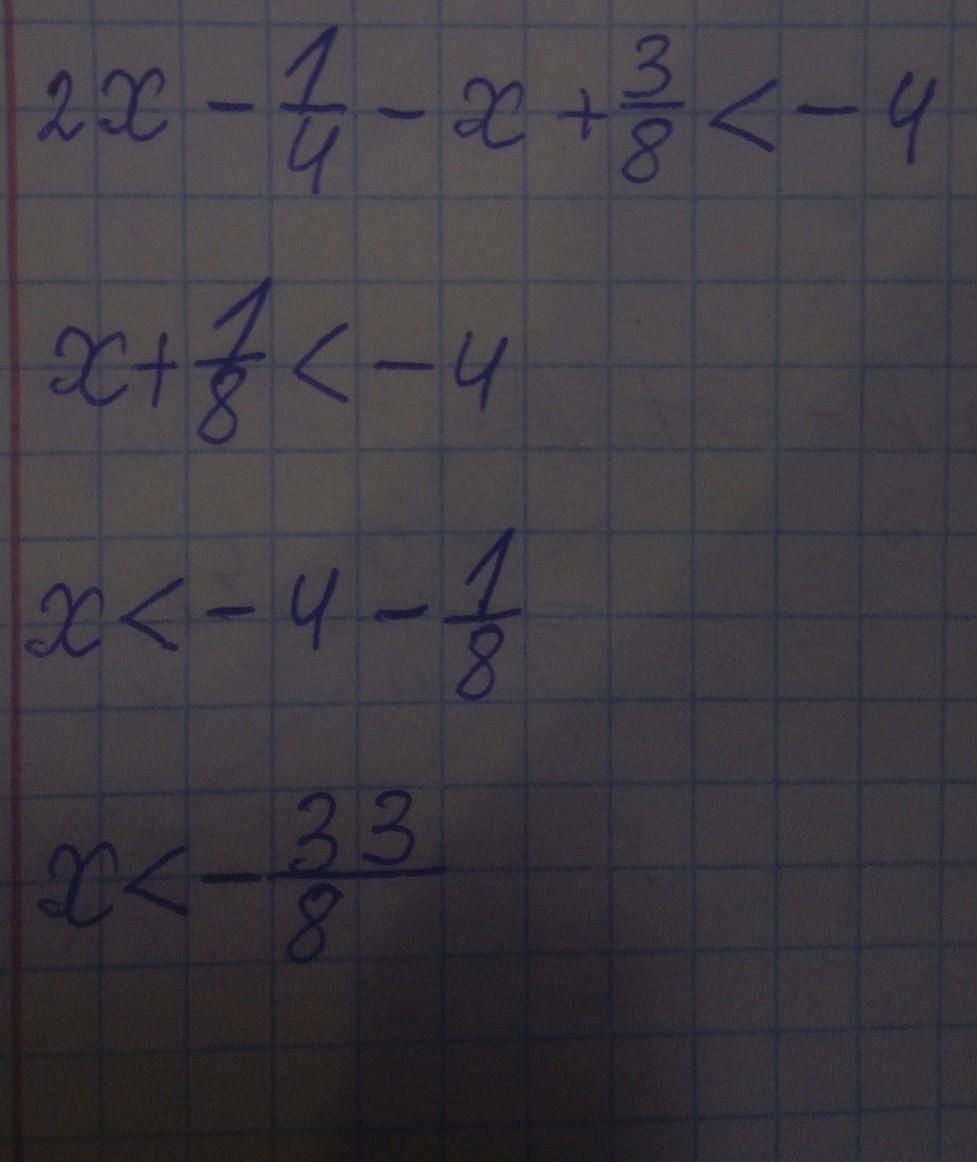
2х-1/4 - х+3/8<-4

Ответы

Ответ дал: RockfellerTeam
1

Ответ:

Объяснение:

Для решения этого неравенства, сначала приведем его к общему знаменателю:

2х - 1/4 - х + 3/8 < -4

(8х - 2 - 4х + 3) / 8 < -4

(4х + 1) / 8 < -4

Теперь умножим обе стороны неравенства на 8:

8х + 1 < -32

Вычтем 1 из обеих сторон неравенства:

8х < -33

Теперь разделим обе стороны неравенства на 4:

х < -33/8

Таким образом, решением данного неравенства является х < -33/8.

Ответ дал: Katja5689
1

Ответ: х < - 33/8

Объяснение: на фото.

Приложения:
Вас заинтересует