• Предмет: Алгебра
  • Автор: sasalerivic
  • Вопрос задан 2 года назад

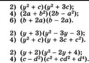
2) (y² + c) (y² + 3c); помогите пожалуйста срочнооооо

Приложения:

Ответы

Ответ дал: LyushaS
1

Ответ:

Объяснение:

2) (y² + c) (y² + 3c) = y⁴+y²*3c +y²c +3c² = y⁴+4y²c+ 3c²

4) (2a + b²)(2b - a) = 4ab -2a² + 2b³- ab² = -2a²- ab² +4ab +2b³

6) (b + 2a)(b - 2a) = b² - 4a²

2) (y + 3)(y² -3y - 3) =  y³ -3y² -3y +3y² - 9y - 9 = y³ -12y - 9

4) (y² + c)(y + 3c + c²) =  y³+3y²c +y²c² + yc + 3c² + c³

2) (y +2)(y² -2y +4) = (y + 2)(y - 2)² = (y + 2)²(y - 2)

4) (c - d²)(c² + cd² + d⁴) = c³ - (d²)³ = c³ - d⁶

Вас заинтересует