• Предмет: Алгебра
  • Автор: catl74204
  • Вопрос задан 1 год назад

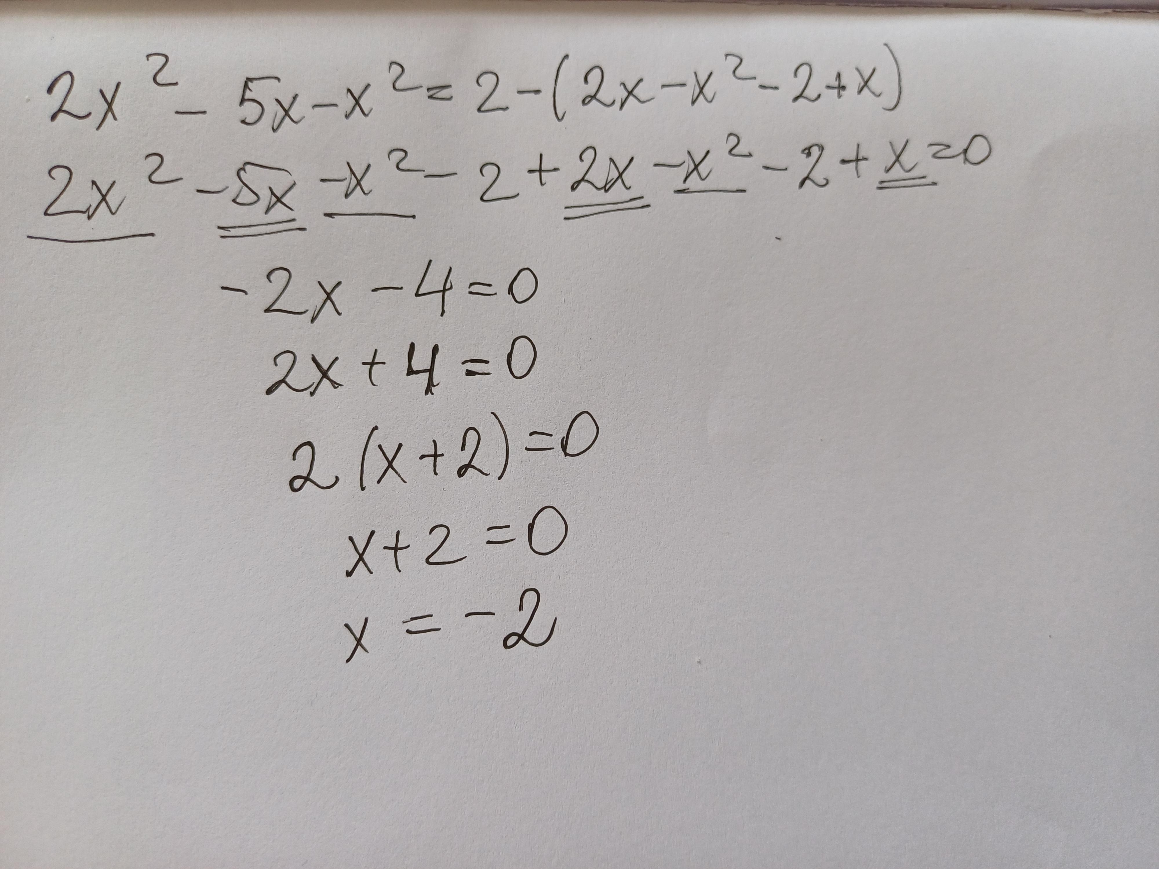
Розв'яжіть рівняння
х(2х-5)-х²=2-(х-1)(2-х)

Ответы

Ответ дал: Veroni4ka777
0

Ответ:

Объяснение:

смотри фото

Приложения:
Вас заинтересует