Ответы
Ответ дал:
1
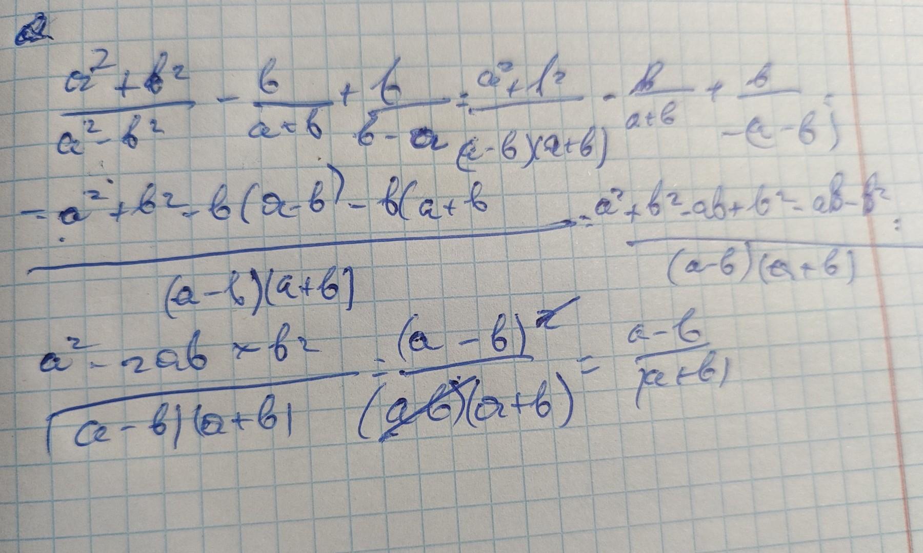
Ответ:
a-b/a+b
Объяснение:
на фото решение. в конце скобки не нужны где a+b
Приложения:

yuriyvorob97:
ищу девушку
Вас заинтересует
1 год назад
1 год назад
1 год назад
2 года назад
2 года назад
8 лет назад