• Предмет: Математика
  • Автор: oliapohilchyk
  • Вопрос задан 1 год назад

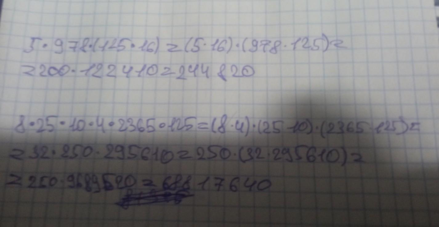
обчисліть зручним способом
8 * 25 * 10 * 4 * 2365 * 125 = ?
5 * 978* (125 * 16)=?

Ответы

Ответ дал: rostislavpopov878
0

у тебя в примере наверно опечатка я такие большие числа впервые умножаю

Приложения:
Вас заинтересует