• Предмет: Алгебра
  • Автор: amaliya19112010
  • Вопрос задан 2 года назад

100 балов,срочно,алгебра,нужно именно решение на листке без джпт,повторюсь РЕШЕНИЕ,а непросто написать ответ.

Приложения:

Ответы

Ответ дал: Пеппер
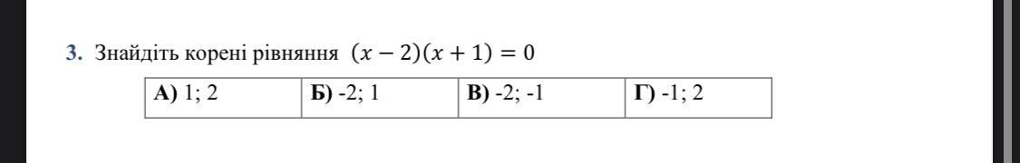
1

Ответ:

(-1; 2)

Объяснение:

(х-2)(х+1)=0

х-2=0;  х=2

х+1=0;  х=-1

Ответ дал: guliwaoo6
1

Ответ:

(x-2)=0

X=2

(X+1)=0

X= -1

Answer : -1;2

Вас заинтересует