• Предмет: Физика
  • Автор: senaaicnyjkonap
  • Вопрос задан 2 года назад

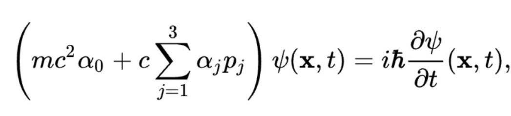
решите уровнение
я не энштейн​

Приложения:

Ответы

Ответ дал: adilalikov17
0

Ответ:

Я тоже не Эпштейн, я тупой


senaaicnyjkonap: бро я просто шучу а вообще это кровнение физики Шрёдингера
Вас заинтересует