• Предмет: Алгебра
  • Автор: oiuty088
  • Вопрос задан 1 год назад

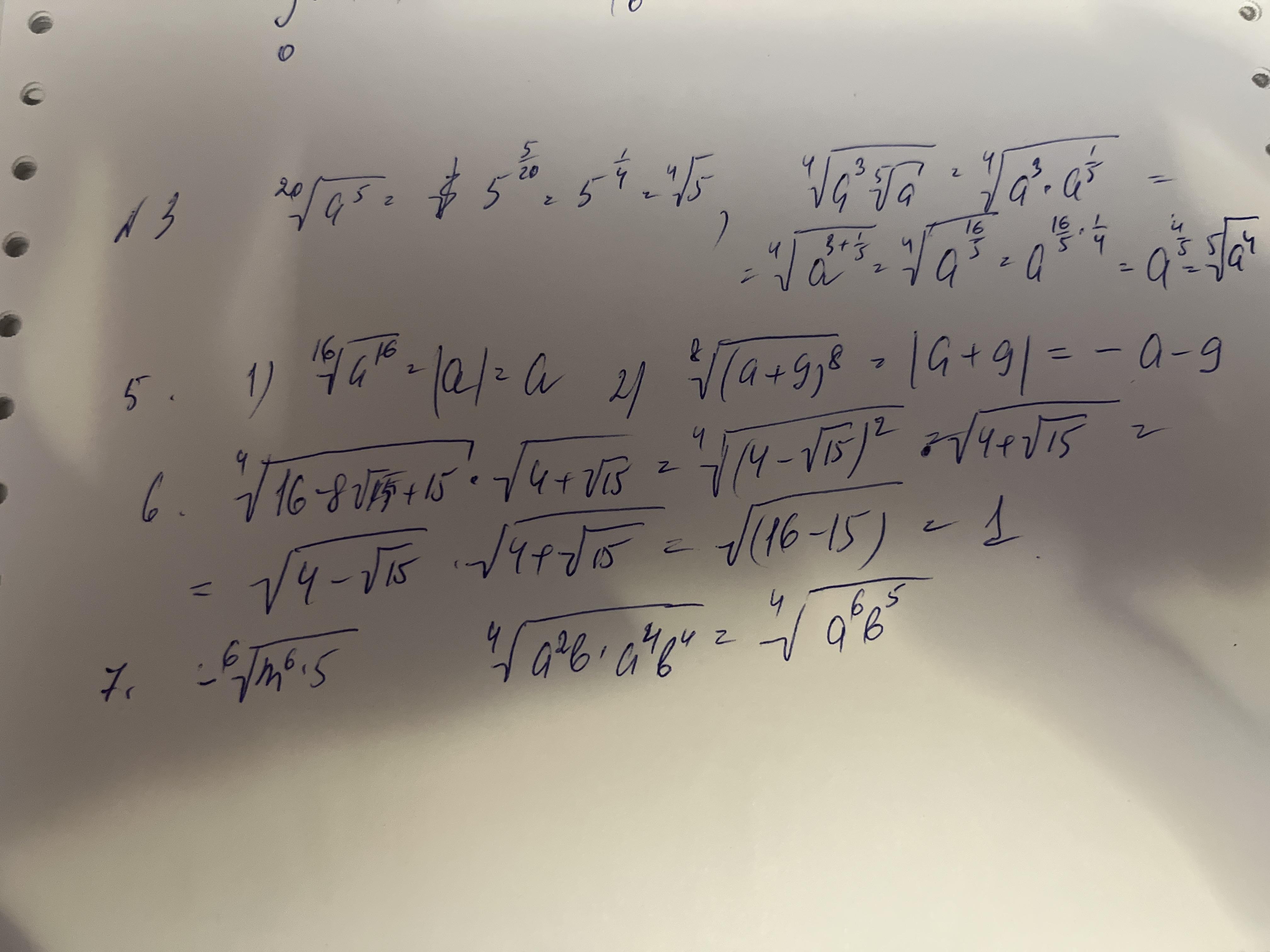
допоможіть будь ласка
номери 3, 5, 6, 7 ​

Приложения:

Ответы

Ответ дал: OlgaKysh
0

Відповідь:

Пояснення:

Приложения:
Вас заинтересует