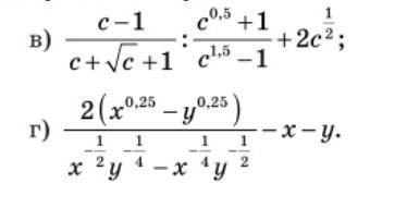
Спростіть вираз. Буду дуже вдячна :), це терміново!
~~~~~~~~~~~~~~~~~~
Упростите выражение, буду очень благодарна :), это срочно!
Приложения:

Ответы
Ответ дал:
1
Ответ:
В) c+1
Г)
Объяснение:
Вот
Вас заинтересует
1 год назад
1 год назад
1 год назад
2 года назад
2 года назад
8 лет назад