• Предмет: Математика
  • Автор: saodatyuldasheva1989
  • Вопрос задан 1 год назад

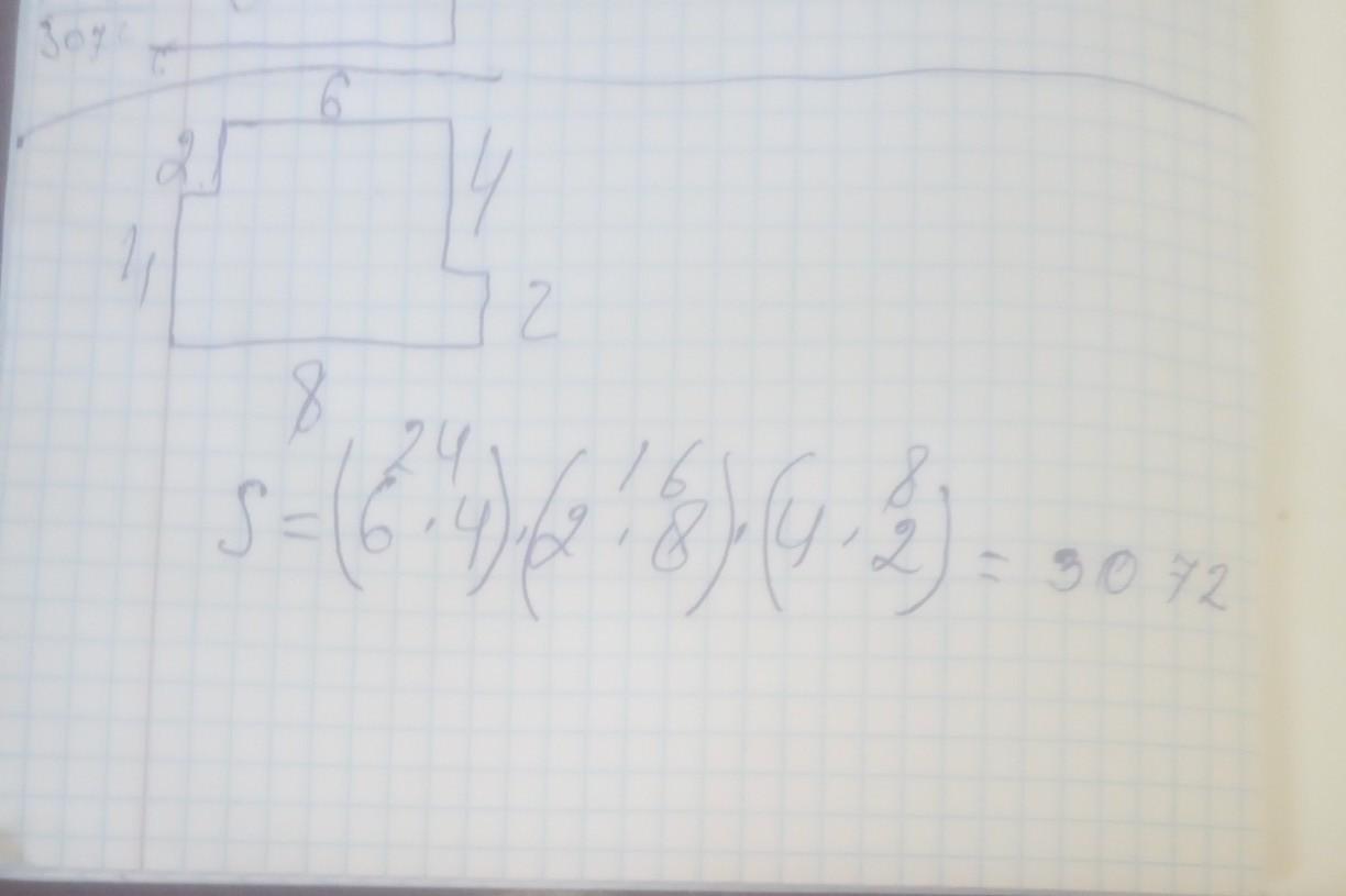
10. а) Начертите в тетради фигуру по описанию: от начальной точки 6 клеток вправо, 4 вниз, 1 вправо, 2 вниз, 8 влево, 4 вверх, 1 вправо, 2 вверх. б) Найдите площадь и периметр многоугольника, который у вас получился.​

Ответы

Ответ дал: yaxshiboyevjamshid51
8

Пошаговое объяснение:

я думаю так :) правильно или нет но я думаю так:)

Приложения:
Вас заинтересует