• Предмет: Математика
  • Автор: Iatpoi
  • Вопрос задан 2 года назад

Помогите пожалуйста. 55 баллов
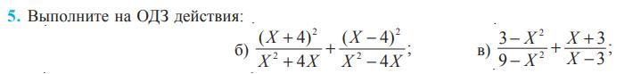
Выполнить на ОДЗ дейстивия.

Приложения:

Ответы

Ответ дал: snezhana5325
1

Ответ:

а)(х+4)²/x²+4x+(x-4)²/x²-4x=(x+4)²/x(x+4)+(x-4)²/x(x-4)=

можем сократить х+4/х+х-4/х=х+4+х-4/х=2х/х=2;

ответ:2.

в)3-х²/9-х²+х+3/х-3,мы можем раскрыть ,таким образом=-3+х²+9+6х+х²/х²-9=6+2х²+6х/х²-9=2х²+6х+6/х²-9;

ответ:2х²+6х+6/х²-9


snezhana5325: можно пожалуйста лучший ответ
snezhana5325: лучший ответ пожалуйста
Вас заинтересует