Ответы
Ответ дал:
0
Ответ:Добрый вечер!
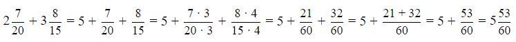
Пошаговое объяснение:Решено во вложении
__________________________________________
ςυξομ
Приложения:

Вас заинтересует
1 год назад
1 год назад
2 года назад
2 года назад
8 лет назад
8 лет назад