Помогите, пожалуйста !
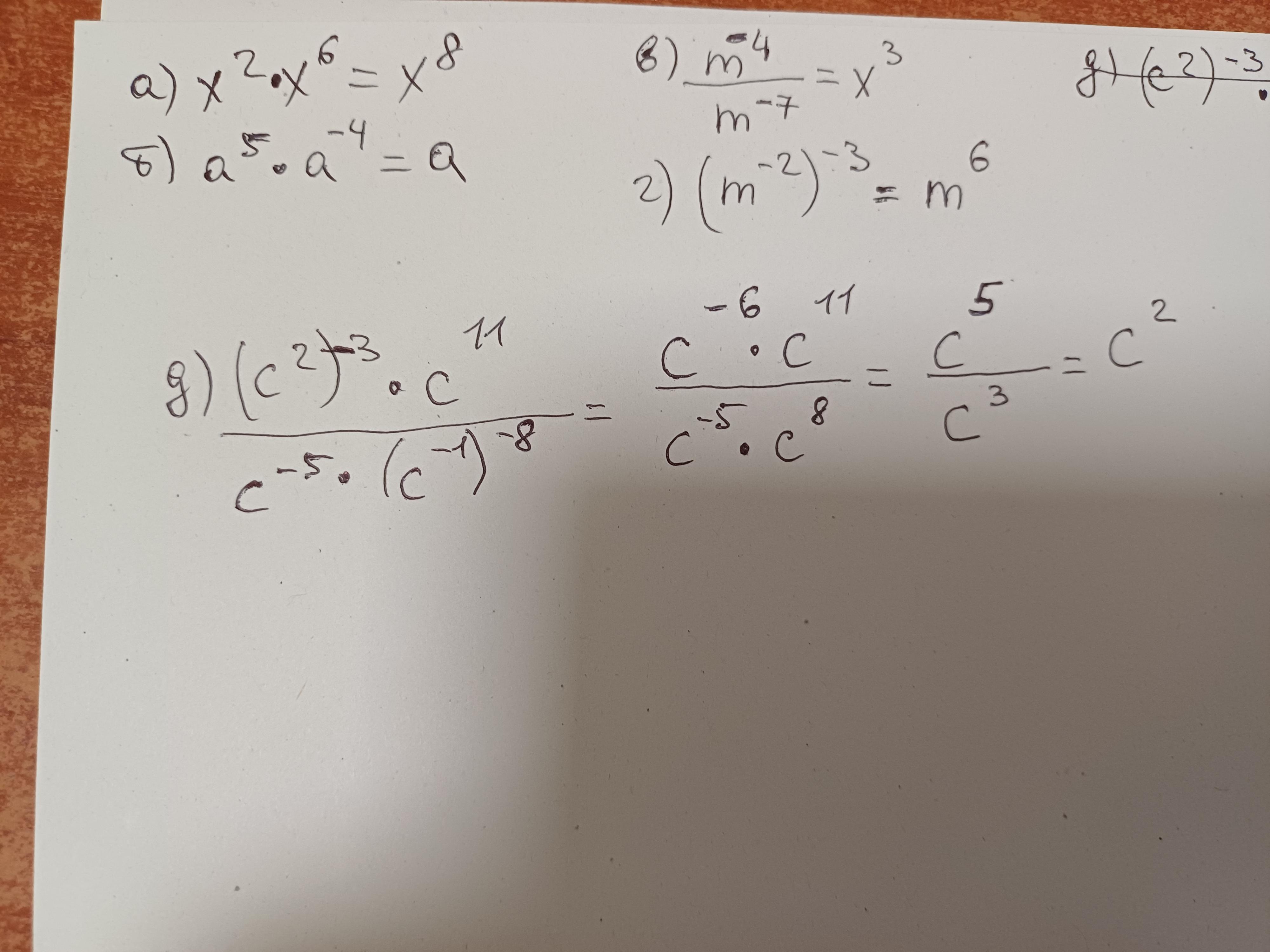
8. представьте в виде степени: а) х^-2*х^6; б) а^-5*а^-4; в) m^-4:m^-7; г) (m^-2)^-3; д) (c^2)^-3*с^11/с^-5*(с^-1)^-8.
Ответы
Ответ дал:
1
Ответ:
Объяснение:
смотри фото
Приложения:

Вас заинтересует
1 год назад
1 год назад
1 год назад
2 года назад
2 года назад
8 лет назад