• Предмет: Математика
  • Автор: Maloryyy
  • Вопрос задан 1 год назад

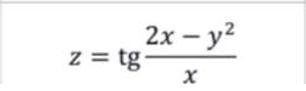
знайти частинні похідні та диференціал функції

Приложения:

Ответы

Ответ дал: masterpley444
0

Ответ:

....................

Приложения:
Вас заинтересует