НУЖНА ПОМОЩЬ
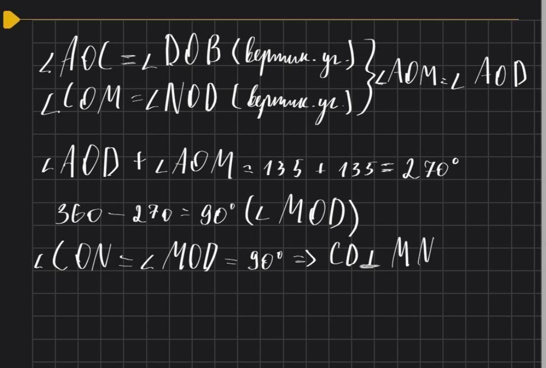
Три прямые AB, CD, MN пересекаются в точке O. Докажите, что CD ⊥ MN, если:
1) ∠COM = ∠AOC + ∠MOB;
2) ∠AOM = 135° , OB − биссектриса ∠MOD
Приложения:
Ответы
Ответ дал:
3
Ответ:
ответ на фото, если что.
Приложения:
AIZkazakh:
Можешь как лучший поставить?) Или всё таки первый ответ более понятнее?
Вас заинтересует
1 год назад
1 год назад
1 год назад
1 год назад
3 года назад
3 года назад
8 лет назад
8 лет назад