• Предмет: Алгебра
  • Автор: PonBbb
  • Вопрос задан 1 год назад

Плс зделайте молю номер 11

Приложения:

parus77: в 10 у вас ошибка.

Ответы

Ответ дал: parus77
1

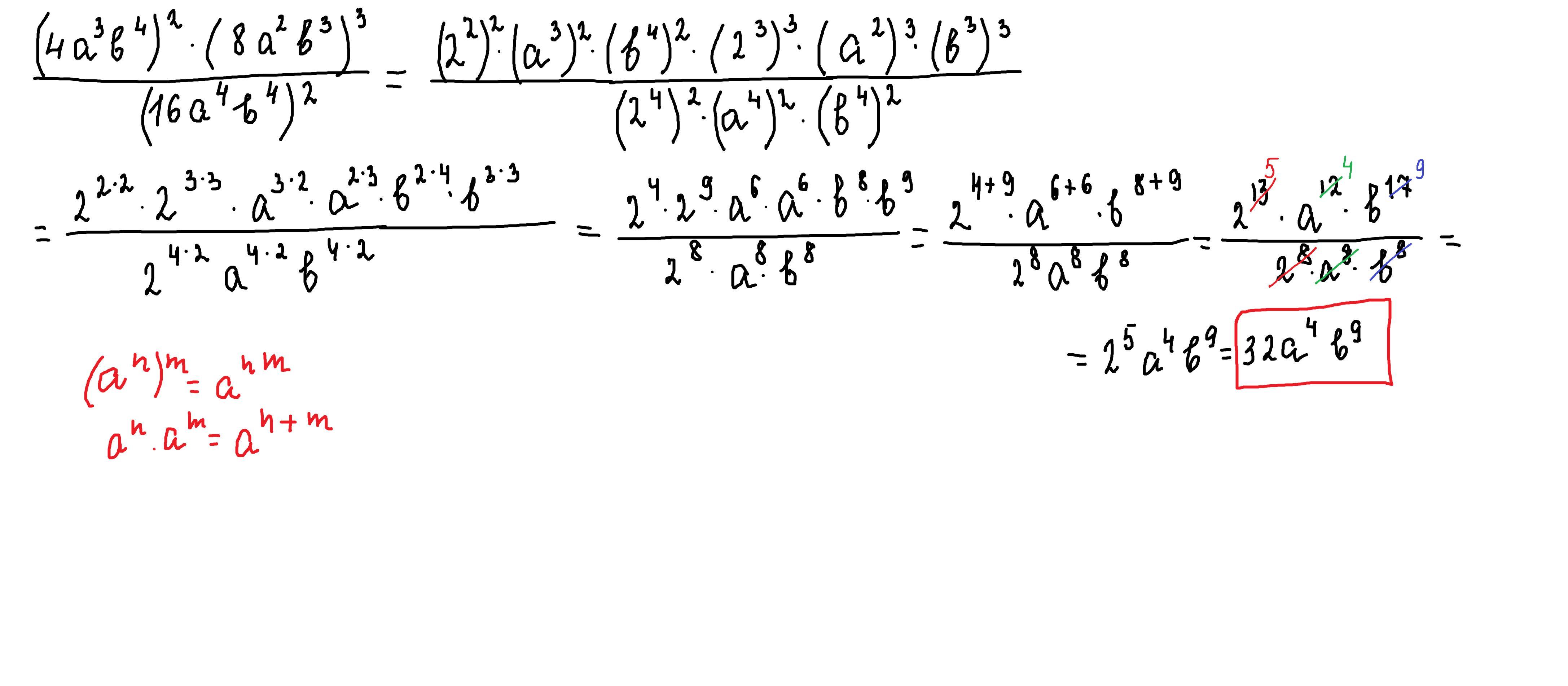
Ответ:

32а⁴b⁹

Объяснение:

решение внизу

Приложения:
Вас заинтересует