• Предмет: Алгебра
  • Автор: Malika2222m
  • Вопрос задан 2 года назад

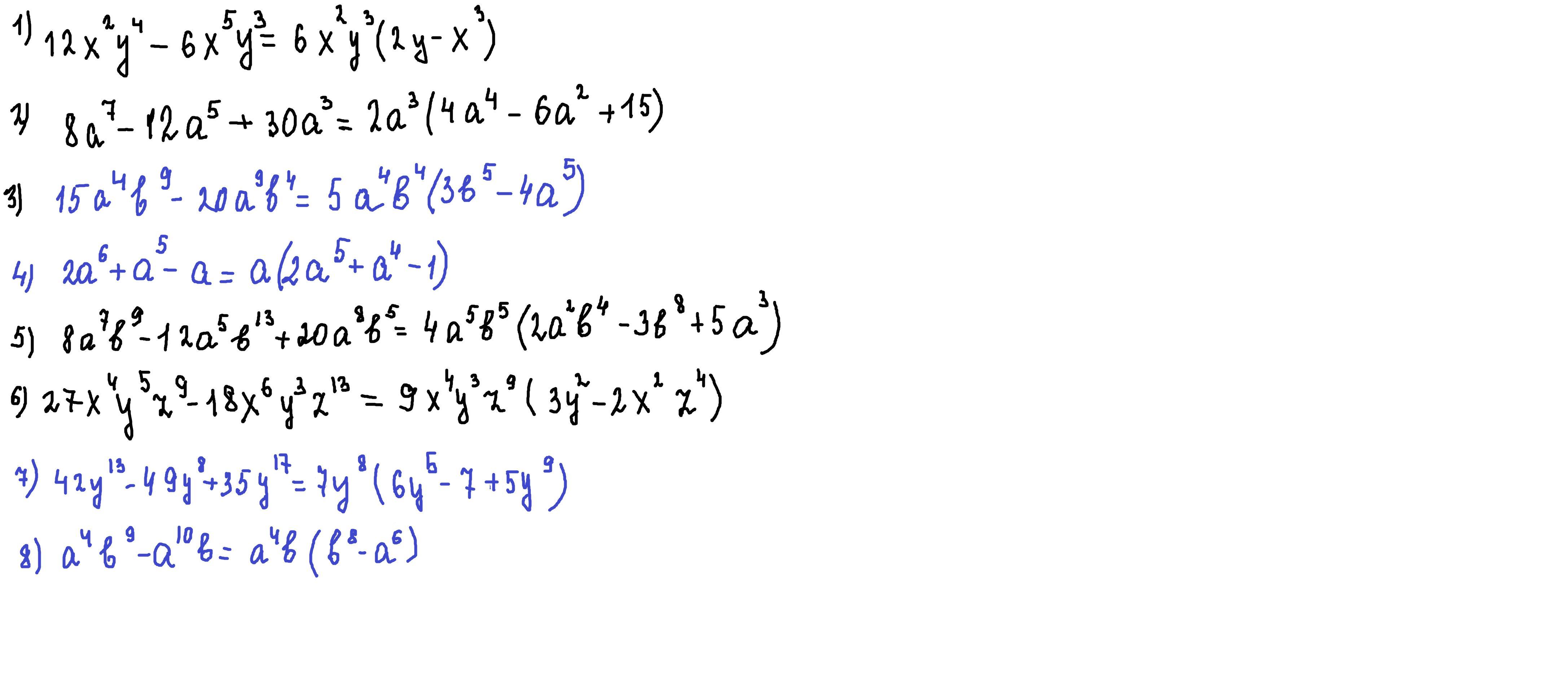
Вынести за скобки общий множитель.
1) 12x2 y4 – 6x5 y3 2) 8a7 – 12a5+ 30a3 3) 15a4 b9 – 20a9 b4 4) 2a6 + a5 – a 5) 8a7 b9 – 12a5 b13 + 20a8 b5 6) 27x4 y5 z9 – 18x6 y3 z13 7) 42y13 – 49y8 + 35y17 8) a4 b9 – a10 b

Ответы

Ответ дал: parus77
17

Ответ:

Объяснение:

решение внизу,выносим общий множитель из чисел и переменную с наименьшим показателем степени

Приложения:

Malika2222m: спасибо большое)
parus77: пожалуйста
abdullohlutfi85: Спасибо большое
wifiminecraft81: Спасибо огромное очень помог
Вас заинтересует