• Предмет: Алгебра
  • Автор: fctdgsygfdhngfxzgsac
  • Вопрос задан 2 года назад

Обчислити похідні функцій.

Приложения:

Ответы

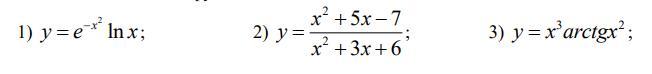
Ответ дал: aarr04594
1

Відповідь: фото

Пояснення:

розв'язання завдання додаю

Приложения:

fctdgsygfdhngfxzgsac: щиро дякую))
Вас заинтересует