• Предмет: Алгебра
  • Автор: fctdgsygfdhngfxzgsac
  • Вопрос задан 1 год назад

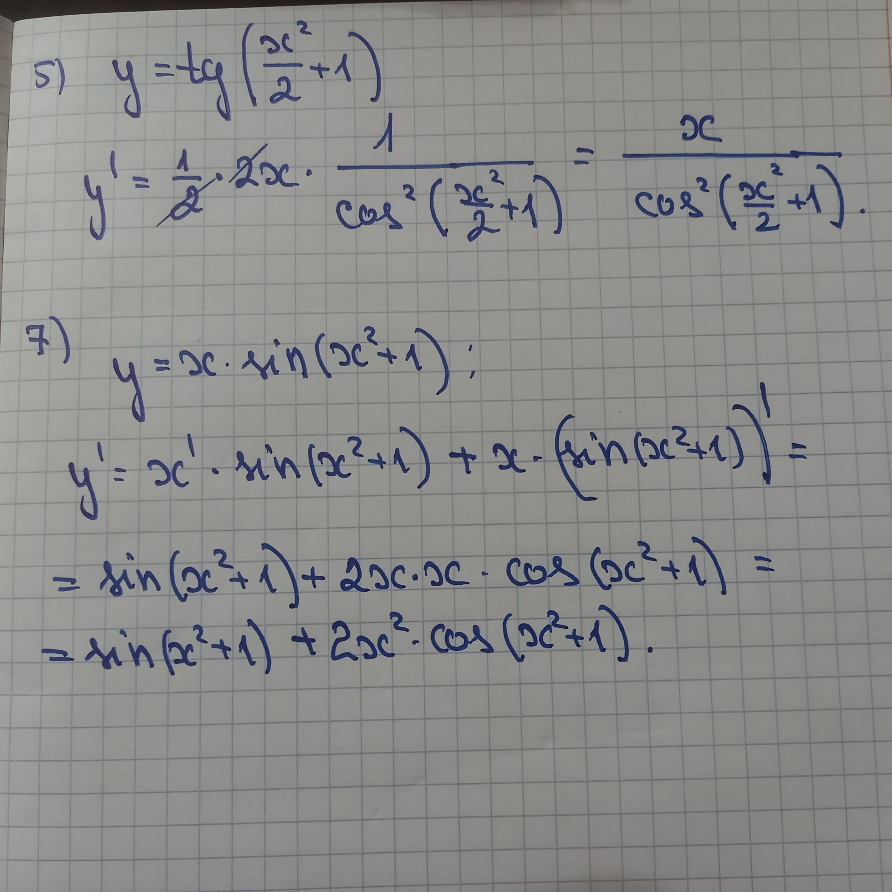
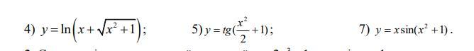
Обчислити похідні функцій.

Приложения:

Ответы

Ответ дал: aarr04594
1

Відповідь:

Пояснення:

розв'язання завдання додаю

Приложения:

fctdgsygfdhngfxzgsac: дуже дякую))
Вас заинтересует