• Предмет: Алгебра
  • Автор: fctdgsygfdhngfxzgsac
  • Вопрос задан 1 год назад

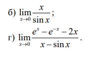
Знайти границі використовучи правила Лопіталя.

Приложения:

Ответы

Ответ дал: 7x8
1

Ответ:

б) \displaystyle 1

г) \displaystyle 2

Объяснение:

б)

\displaystyle \lim_{x\to 0} \frac{x}{sin x}= \left[\frac{0}{0} \right] =\lim_{x\to 0} \frac{(x)'}{(sin x)'}=\lim_{x\to 0} \frac{1}{cos x}= \frac{1}{cos 0}=\frac{1}{1}=1

г)

\displaystyle \lim_{x\to 0} \frac{e^x-e^{-x}-2x}{x-sin x}= \left[\frac{0}{0} \right] =\lim_{x\to 0} \frac{(e^x-e^{-x}-2x)'}{(x-sin x)'}=\\\\\\ \lim_{x\to 0} \frac{e^x-e^{-x}\cdot(-x)'-2}{1-cos x}=\lim_{x\to 0} \frac{e^x-e^{-x}\cdot(-1)-2}{1-cos x}=\\\\\\ \lim_{x\to 0} \frac{e^x+e^{-x}-2}{1-cos x}=\left[\frac{0}{0} \right]=\lim_{x\to 0} \frac{(e^x+e^{-x}-2)'}{(1-cos x)'}=\\\\\\ \lim_{x\to 0} \frac{e^x+e^{-x}\cdot(-x)'-0}{0+sin x}=\lim_{x\to 0} \frac{e^x+e^{-x}\cdot(-1)}{sin x}=

\displaystyle \lim_{x\to 0} \frac{e^x-e^{-x}}{sin x}=\left[\frac{0}{0} \right]=\lim_{x\to 0} \frac{(e^x-e^{-x})'}{(sin x)'}=\\\\\\ \lim_{x\to 0} \frac{e^x-e^{-x}\cdot(-x)'}{cos x}=\lim_{x\to 0} \frac{e^x-e^{-x}\cdot(-1)}{cos x}=\\\\\\ \lim_{x\to 0} \frac{e^x+e^{-x}}{cos x}= \frac{e^0+e^{-0x}}{cos 0}=\frac{1+1}{1}=\frac{2}{1}=2


fctdgsygfdhngfxzgsac: щиро дякую)
Вас заинтересует