• Предмет: Алгебра
  • Автор: kirilldanilov251207
  • Вопрос задан 1 год назад

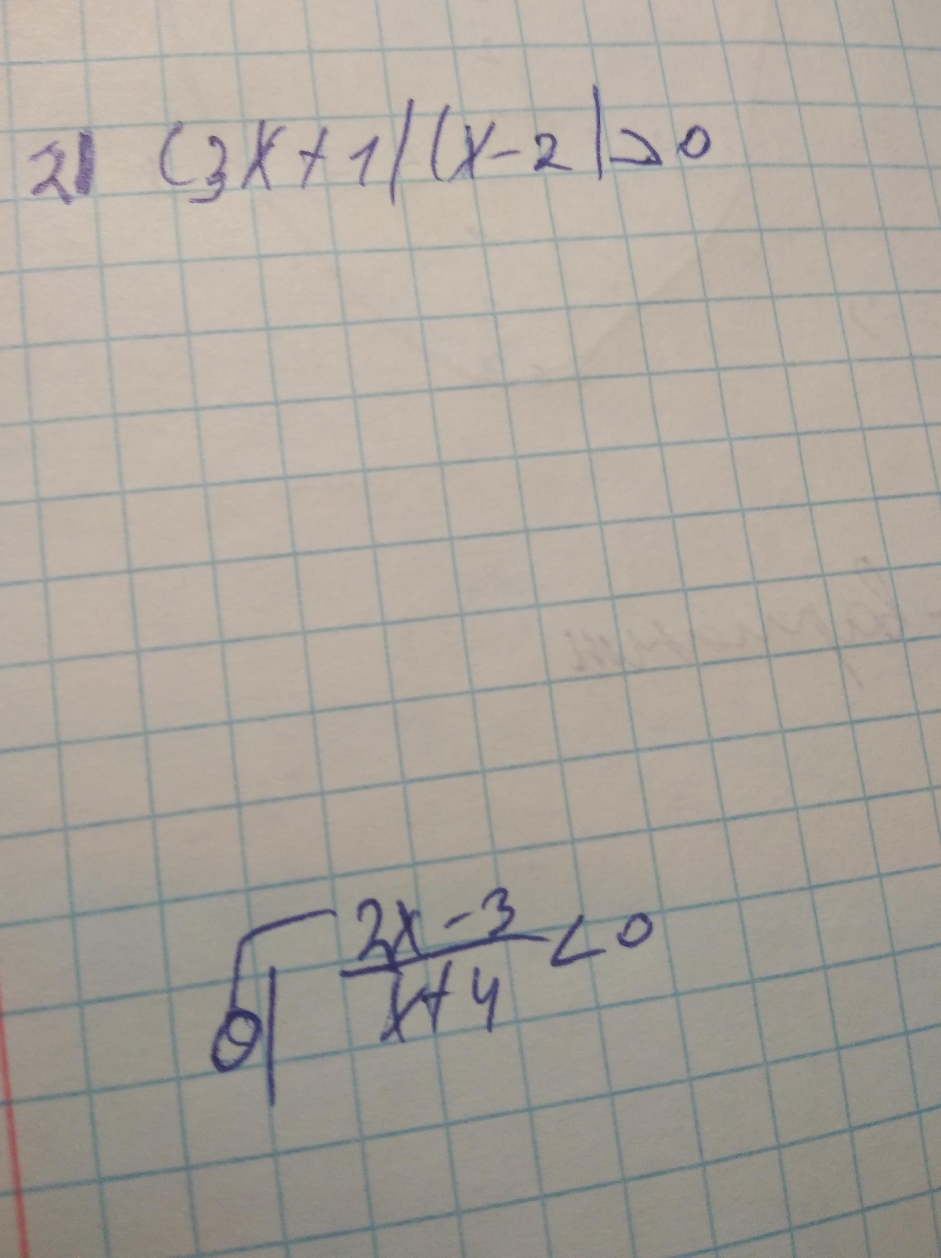
(3х+1)(х-2) >0 решить неравенства используя метод интервалом
2х-3/х+4<0

Приложения:

Ответы

Ответ дал: a87086828
1

Ответ:

Объяснение:

Решим неравенство (3х+1)(х-2) > 0:

Найдем корни уравнения (3х+1)(х-2) = 0. Корни уравнения: х1 = -1/3, х2 = 2.

Разобьем числовую ось на интервалы с учетом корней: (-∞, -1/3), (-1/3, 2), (2, +∞).

Выберем произвольные точки из каждого интервала и подставим их в неравенство. Если неравенство выполняется, то весь интервал является решением.

Итак, решением неравенства (3х+1)(х-2) > 0 являются интервалы (-∞, -1/3) и (2, +∞).

Решим неравенство 2х-3/х+4 < 0:

Найдем корни уравнения 2х-3/х+4 = 0. Корни уравнения: х1 = 3/2, х2 = -4.

Разобьем числовую ось на интервалы с учетом корней: (-∞, -4), (-4, 3/2), (3/2, +∞).

Выберем произвольные точки из каждого интервала и подставим их в неравенство. Если неравенство выполняется, то весь интервал является решением.

Итак, решением неравенства 2х-3/х+4 < 0 являются интервалы (-4, 3/2) и (3/2, +∞).

Вас заинтересует