• Предмет: Математика
  • Автор: niyazovamaqsuda
  • Вопрос задан 1 год назад

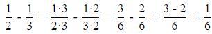
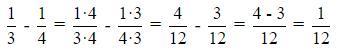
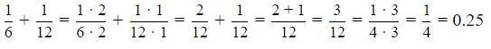
{ 1/2-1/3} + {1/3-1/4} ​


Lera89012: "/" дробь?

Ответы

Ответ дал: Lera89012
0

Ответ:Добрый вечер!

Пошаговое объяснение на фото.

Приложения:
Вас заинтересует