Ответы
Ответ дал:
1
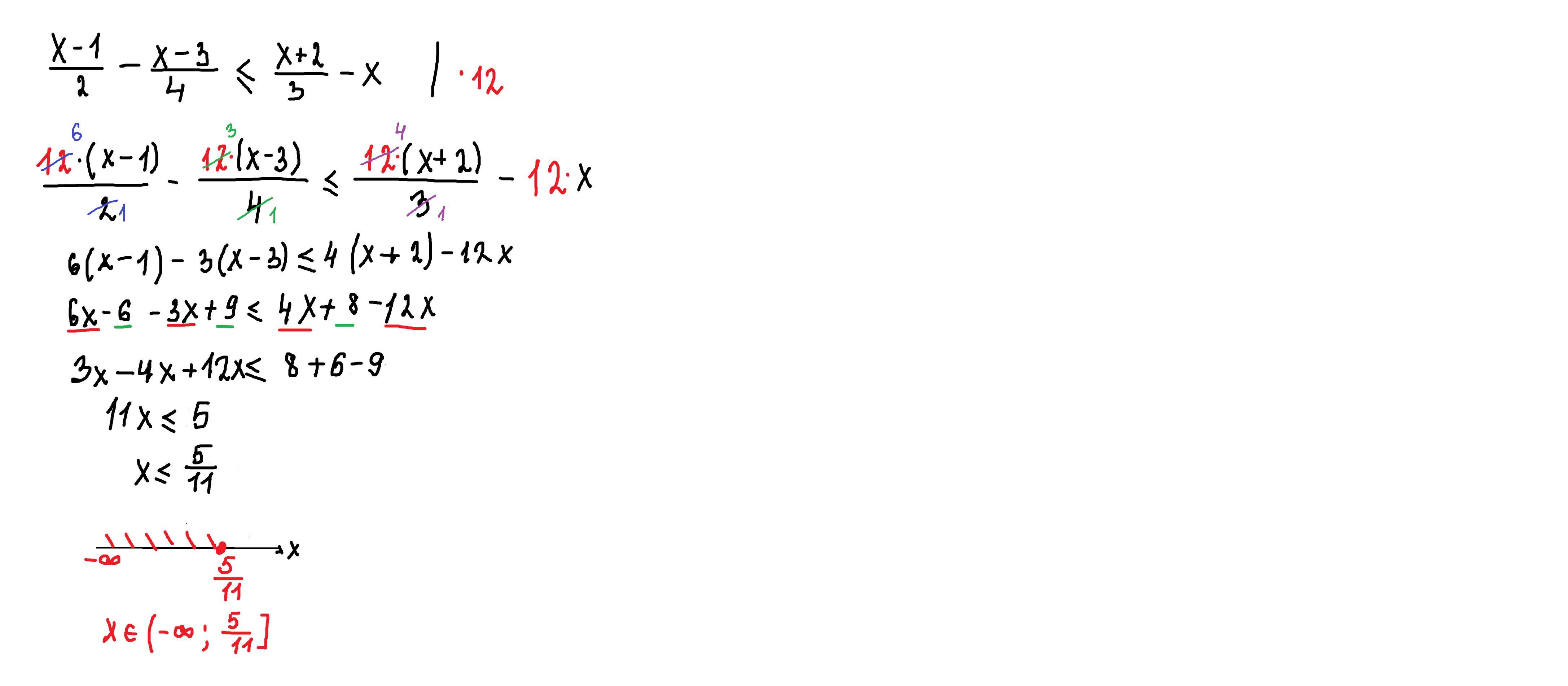
Відповідь: xЄ (- ∞ ; 5/11 ] .
Пояснення:
( x - 1 )/2 - ( x - 3 )/4 ≤ ( x + 2 )/3 - x ;│X 12
6( x - 1 ) - 3( x - 3 ) ≤ 4( x + 2 ) - 12x ;
6x - 6 - 3x + 9 ≤ 4x + 8 - 12x ;
6x - 3x - 4x + 12x ≤ 8 + 6 - 9 ;
11x ≤ 5 ;
x ≤ 5 : 11 ;
x ≤ 5/11 ; xЄ (- ∞ ; 5/11 ] .
Ответ дал:
1
Ответ:
х≤ 5/11
Объяснение:
Приложения:

Вас заинтересует
1 год назад
1 год назад
1 год назад
1 год назад
2 года назад
2 года назад
8 лет назад