• Предмет: Алгебра
  • Автор: enkk
  • Вопрос задан 2 года назад

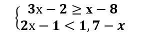
Знайдіть цілі розв’язки системи нерівності:

Приложения:

Ответы

Ответ дал: aoatkalaala
1

Ответ:

думаю что так ㅤㅤㅤㅤㅤㅤㅤㅤㅤㅤㅤㅤㅤㅤㅤㅤㅤㅤㅤ

Приложения:
Ответ дал: IsTaGrAmChIk
2

\left \{ {{2x-2\geq x-8} \atop {2x-1 < 1.7-x} \right.

Ну мы начнем решать сначала 2х-2≥х-8

2х-2≥х-8

Мы Х перенесем налево с протилежным знаком, а -2 мы перенесем вправо тоже с протилежным знаком

2х-х≥-8+2

Решаем -Х это как -1Х

1х≥-6

Мы 1 делим на -6

х≥-6:1

х≥-6

И это ответ на первую неравенства, щас мы решает другу неравенство

2х-1<1,7-х

Мы -1 переносем вправо с протилежным знаком, а -Х переносем влево тоже с протидежним знаком

2х+х<1,7+1

Решаем Х это как

3х<2,7

Мы 3 делим на 2,7

х<\frac{2,7}{3}

Мы сделаем с 2,7 целое число, мы помножим 2,7 на 10 и на 3 тоже

х<\frac{27}{30} Или 0,9

И это ответ на это неравнецство

Ответ: Эта неравнецство имет одно целое число


enkk: там 3х замість 2х було, але дякую, все поняв як рішається
Вас заинтересует