• Предмет: Алгебра
  • Автор: dashka190210
  • Вопрос задан 1 год назад

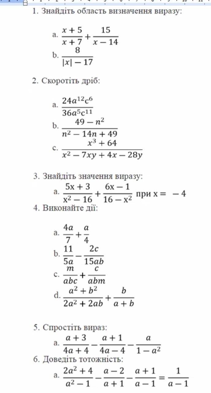
помогите пожалуйста алгебра 8 класс срочно
даю 50 балов ​

Приложения:

Ответы

Ответ дал: Kilenon17
1
надеюсь помогла, успехов)
Приложения:

dashka190210: спасибо конечно но уже позно(
Вас заинтересует