• Предмет: Алгебра
  • Автор: pupil795
  • Вопрос задан 1 год назад

СРОЧНООО ДО 20:30 80 БАЛОВ ПОЖАЙЛУСТА ПОМОГИТЕ

Приложения:

Аноним: скину розв‘язок в інст @mathematic_89

Ответы

Ответ дал: NNNLLL54
1

Ответ:

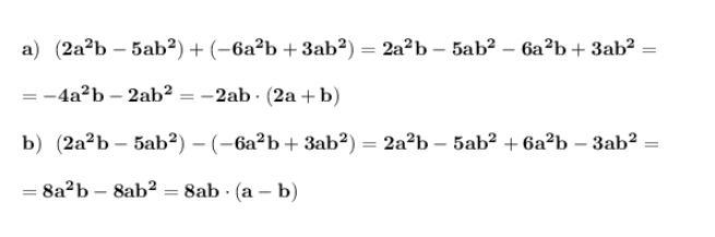
4)  Упростить выражение .

\bf a)\ \ (2a^2b-5ab^2)+(-6a^2b+3ab^2)=2a^2b-5ab^2-6a^2b+3ab^2=\\\\=-4a^2b-2ab^2=-2ab\cdot (2a+b)\\\\b)\ \ (2a^2b-5ab^2)-(-6a^2b+3ab^2)=2a^2b-5ab^2+6a^2b-3ab^2=\\\\=8a^2b-8ab^2=8ab\cdot (a-b)    

6)  Многочлен , который надо прибавить к многочлену  \bf -4a^2+7a-3  ,

чтобы получить в сумме многочлен  \bf 5a^2-a+6 , обозначим  А .

\bf (\bf -4a^2+7a-3)+A=5a^2-a+6\ \ \ \ \Rightarrow \\\\A=(5a^2-a+6)-(\bf -4a^2+7a-3)\\\\A=9a^2-8a+9    

Приложения:
Вас заинтересует