• Предмет: Алгебра
  • Автор: AmogusAbobus14
  • Вопрос задан 1 год назад

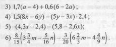
Помогите срочно пожалуйста

Приложения:

Ответы

Ответ дал: mamedovailona7
1

Ответ:

удвчи ,

Объяснение:

Приложения:

AmogusAbobus14: Брат спс огромное здоровья твоей семье и твоим близким
Вас заинтересует