Ответы
Ответ дал:
0
Ответ:
Объяснение:
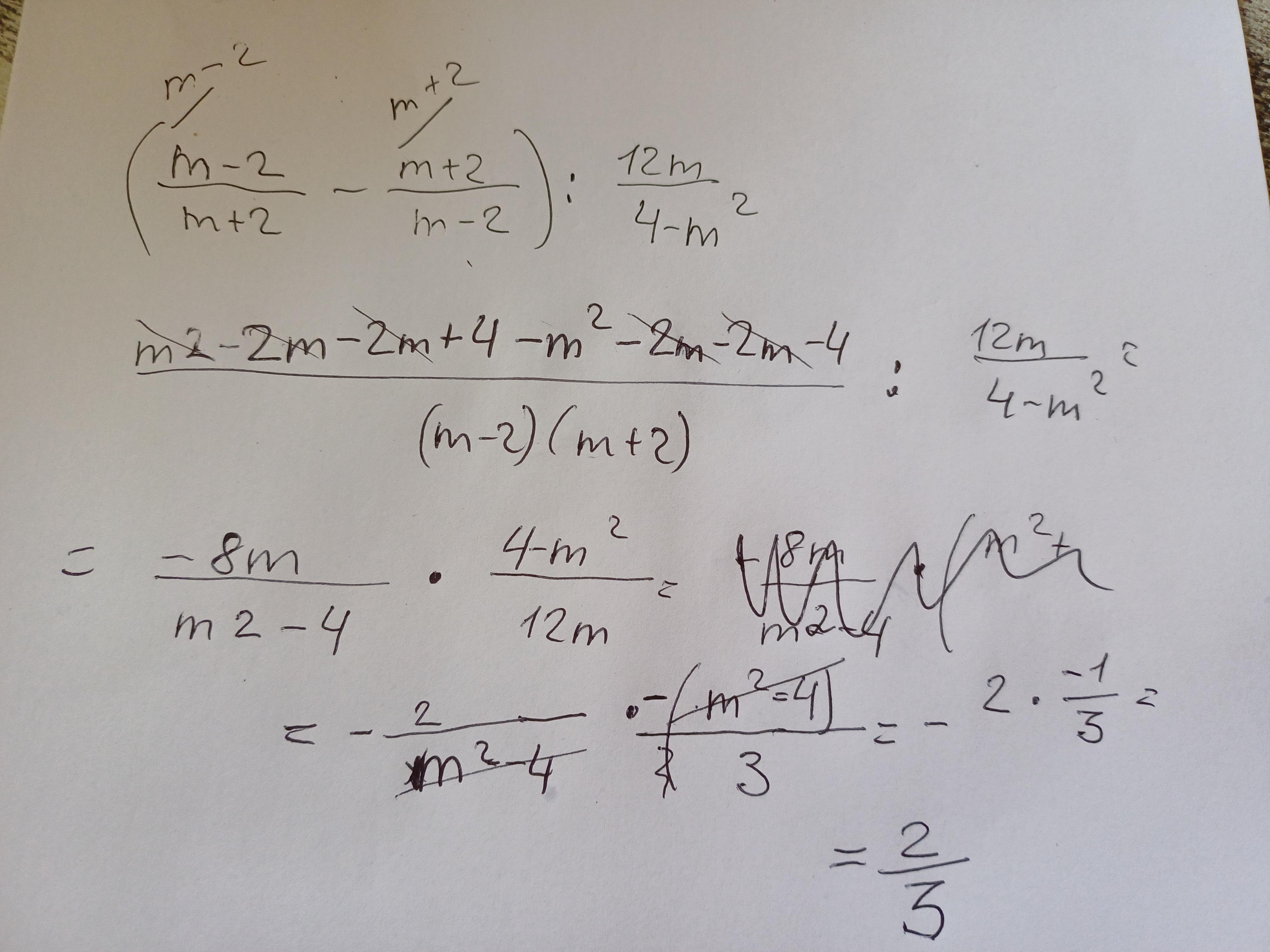
смотри фото
Приложения:

Вас заинтересует
1 год назад
1 год назад
1 год назад
1 год назад
8 лет назад
8 лет назад