Ответы
Ответ дал:
0
Ответ:
Пошаговое объяснение:
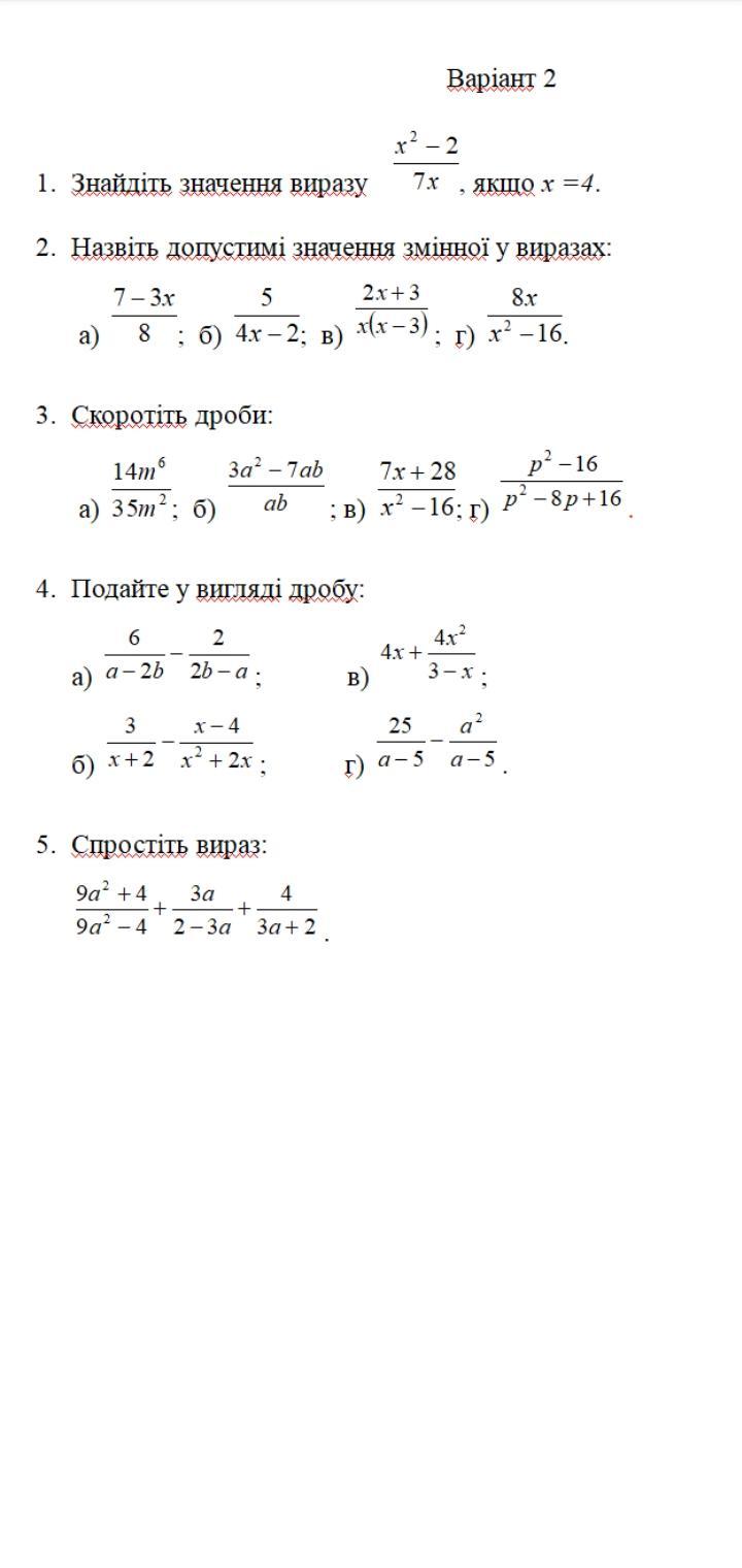
3.Ответы
а) 2m^4/5
б) 3а-7b/b
в)7/х-4
г)p+4/p-4
4.Ответы
а) 8/a-2b
б) 2/х
в) 12х/3-х
г) -5-а
5. Ответ
2/3а+2
Приложения:

Вас заинтересует
1 год назад
1 год назад
1 год назад
2 года назад
2 года назад
8 лет назад