• Предмет: Математика
  • Автор: sofia137130
  • Вопрос задан 1 год назад

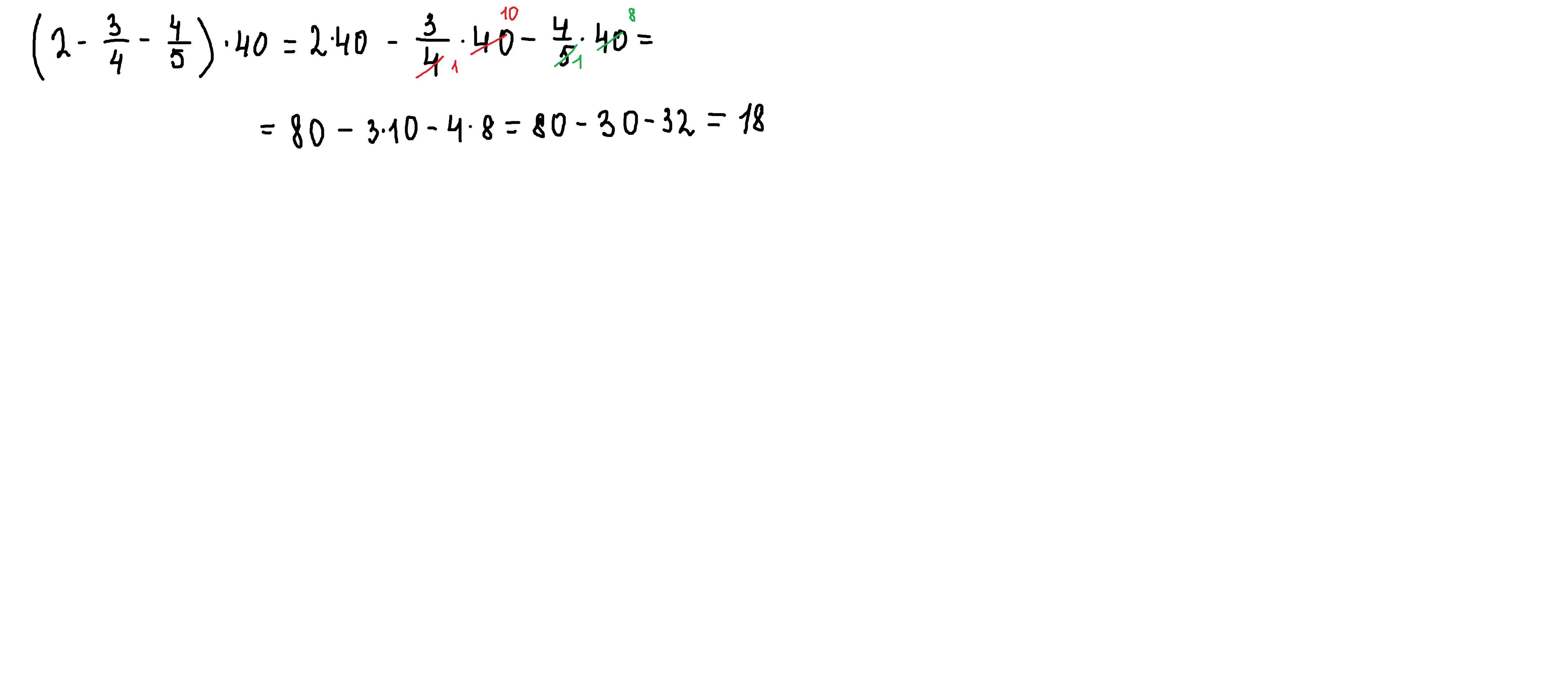
(2 - 3/4 - 4/5) × 40

Ответы

Ответ дал: parus77
1

Ответ:

18

Пошаговое объяснение:

иногда легче решить так(чтобы не приводить дроби к общему знаменателю)

Приложения:

sofia137130: Спасибо
Вас заинтересует