Ответы
Ответ дал:
0
Ответ:
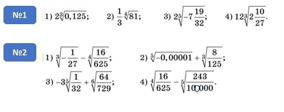
Ответ в закреплёном фото
Приложения:


Вас заинтересует
1 год назад
1 год назад
1 год назад
2 года назад
2 года назад
8 лет назад