• Предмет: Математика
  • Автор: kreiziadams
  • Вопрос задан 2 года назад

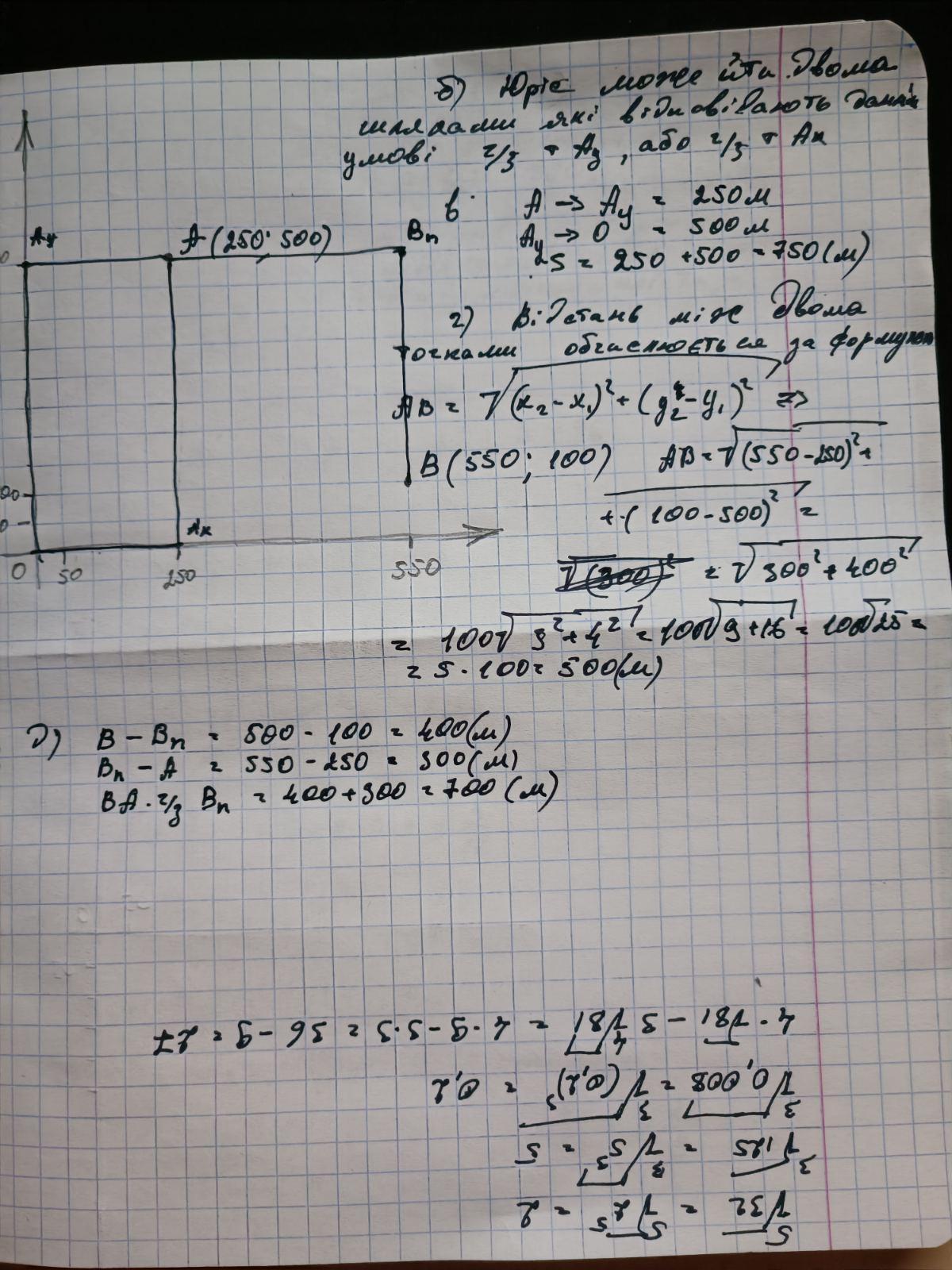
Друзья Юрис и Мартиньш учатся в одной школе. Точка А описывает координаты места жительства Юры относительно школы.
(250 м; 500 м), а резиденция Мартиньша – точка Б (550 м; 100 м).
а) Нарисуйте систему координат с указанием местонахождения школы и места проживания мальчиков.

б) Отметьте в системе координат путь, пройденный Юрисом, если Юрис идет в школу по двум взаимно перпендикулярным улицам!
в) Какое расстояние Юрис преодолевает по дороге в школу? Определите его двумя способами: измерив линейкой и рассчитав! Показывать
ход вычислений

г) Насколько велико расстояние между резиденциями Юры и Мартиньша? Определите это двумя способами!
д) Какое расстояние придется пройти Мартиньшу, если он пойдет в гости к Юре по двум взаимно перпендикулярным улицам?

Ответы

Ответ дал: natalispring1
0

Відповідь:

Покрокове пояснення:

Приложения:

natalispring1: те що до гори дригом не Ваше
Вас заинтересует