• Предмет: Алгебра
  • Автор: evaketb123
  • Вопрос задан 1 год назад

СРОЧНО ПОЖАЛУЙСТА ДАМ 20 БАЛЛОВ

Приложения:

Ответы

Ответ дал: sangers1959
0

Объяснение:

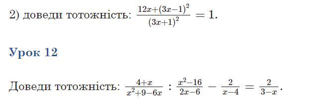
2)

\displaystyle\\\frac{12x+(3x-1)^2}{(3x+1)^2}=\frac{12x+9x^2-6x+1^2}{9x^2+6x+1^2} =\frac{9x^2+6x+1}{9x^2+6x+1}=1.

Урок 12.

\displaystyle\\\frac{4+x}{x^2+9-6x}:\frac{x^2-16}{2x-6}-\frac{2}{x-4} =\frac{x+4}{(x-3)^2} *\frac{2*(x-3)}{(x+4)*(x-4)}-\frac{2}{x-4}  =\\\\\\=\frac{2}{(x-3)*(x-4)}-\frac{2}{x-4}=\frac{2-2*(x-3)}{(x-3)*(x-4)} =\frac{2*(1-x+3)}{(x-3)*(x-4)}   =\\\\\\=\frac{2*(4-x)}{(x-3)*(x-4)} =\frac{-2*(x-4)}{(x-3)*(x-4)}=-\frac{2}{x-3} =\frac{2}{3-x} .

1)

\displaystyle\\(\frac{2x}{y} )^2:\frac{6x^3}{y^2} =\frac{4x^2}{y^2}*\frac{y^2}{6x^3} =\frac{4}{6x} =\frac{2}{3x}  .

2)

\displaystyle\\x:\frac{4x}{x+3} =5\ \ \ \ (x+3\neq 0\ \ \ \ x\neq -3)\\\\x*\frac{x+3}{4x} =5\ \ \ \ (x\neq 0)\\\\\frac{x+3}{4} =5\ |*4\\\\x+3=20\\\\x=17.

Ответ: х=17.

Вас заинтересует