• Предмет: Алгебра
  • Автор: klulekss
  • Вопрос задан 2 года назад

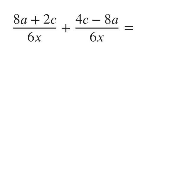
выполните действия
помогите пж

Приложения:

Ответы

Ответ дал: tatsach
0

Ответ:

Объяснение:

........

Приложения:
Вас заинтересует