Ответы
Ответ дал:
1
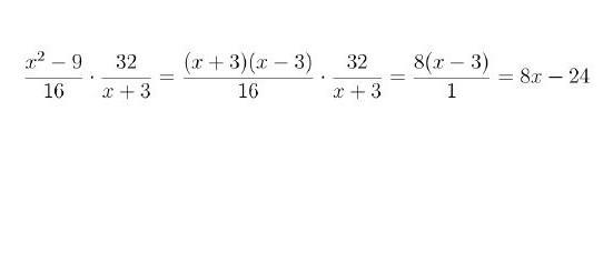
Нужно сократить дробь и
упростить выражение:
(x-3)x(x+3) × 2/x+3
Упростим выражение:
(x-3)х2
и получаем:
2x-6
Ответ дал:
1
Ответ:
Объяснение:
Приложения:

Вас заинтересует
1 год назад
1 год назад
1 год назад
2 года назад
2 года назад
8 лет назад