Ответы
Ответ дал:
1
Ответ:
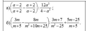
на фото сделано
Объяснение:
Приложения:

Вас заинтересует
1 год назад
1 год назад
1 год назад
2 года назад
2 года назад
8 лет назад