• Предмет: Алгебра
  • Автор: Аноним
  • Вопрос задан 1 год назад

зробити 125 вправу і 126 ​

Приложения:

Аноним: скину розв‘язок в інст @mathematic_89

Ответы

Ответ дал: NNNLLL54
0

Ответ:

Применим свойства степеней .

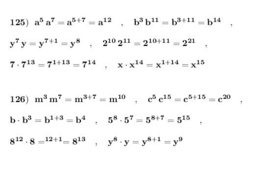
\bf 125)\ \ a^5\, a^7=a^{5+7}=a^{12}\ \ \ ,\ \ \ b^3\, b^{11}=b^{3+11}=b^{14}\ \ \ ,\\\\y^7\, y=y^{7+1}=y^8\ \ \ ,\ \ \ 2^{10}\, 2^{11}=2^{10+11}=2^{21}\ \ \ ,\\\\7\cdot 7^{13}=7^{1+13}=7^{14}\ \ \ ,\ \ \ x\cdot x^{14}=x^{1+14}=x^{15}

\bf 126)\ \ m^3\, m^7=m^{3+7}=m^{10}\ \ \ ,\ \ \ c^5\, c^{15}=c^{5+15}=c^{20}\ \ \ ,\\\\b\cdot b^3=b^{1+3}=b^4\ \ \ ,\ \ \ 5^{8}\cdot 5^{7}=5^{8+7}=5^{15}\ \ \ ,\\\\8^{12}\cdot 8=^{12+1}=8^{13}\ \ \ ,\ \ \ y^8\cdot y=y^{8+1}=y^{9}            

Приложения:
Вас заинтересует