Ответы
Ответ дал:
0
Ответ:
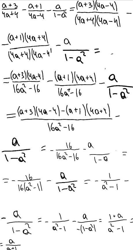
а/х+1
Объяснение:
объяснение смотри на фото
Приложения:

Вас заинтересует
1 год назад
1 год назад
2 года назад
8 лет назад